На координатной плоскости изображены векторы a и b...
Категория: Математика | Добавлено: 24.03.2026
Задание 1 :
На координатной плоскости изображены векторы a и b с целочисленными координатами. Найдите скалярное произведение a * b
Решение 1:

a {3;−4}
b {1;−5}
a * b = 3 ∙ 1 + ( −4) ∙ ( −5) = 3 + 20 = 23
Ответ: 23
Решение 2:

a {−2;3}
b {2;4}
a * b = - 2 * 2 + 3 * 4 = −4 + 12 = 8
Ответ: 8
Решение 3:

a {5;2}
b {6;0}
a * b = 5 * 6 + 2 * 0 = 30 + 0 = 30
Ответ: 30
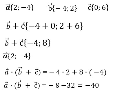
Задание 2
На координатной плоскости изображены векторы a, b и c и целочисленными координатами. Найдите скалярное произведение a * (b + c)

Решение

Ответ: - 40